关于印发《bevictor韦德本科专业毕业要求达成度评价实施细则》的通知
时间:2024-03-18    点击次数:[]

院内各单位:

《bevictor韦德本科专业毕业要求达成度评价实施细则》已经本公司党政联席会审议通过, 现予以印发,请遵照执行。

bevictor韦德

2017 5 16


bevictor韦德

本科专业毕业要求达成度评价实施细则

为有效评价毕业要求的达成情况,对毕业要求进行多维度的 评价,检验和判断专业人才培养质量是否达到预期标准,分析员工各项能力的长处和短板,为专业公司产品的持续改进提供依据,根据《bevictor韦德官网本科(工科类)专业人才培养质量评价管理办法(试行)》(教务2016175 号)等相关文件要求,特制订本细则。

一、评价目的

毕业要求是对员工四年学习所应具备关键素质与能力的具体描述,是员工毕业时应该取得的学习成果。毕业要求达成是培养目标达成的重要支撑。通过系统、科学、有效的毕业要求达成情况评价,可以系统掌握毕业生的各项关键素质与能力的发展情况,发现课程教学与员工发展中存在的问题与不足,为有针对性改进培养中的问题与不足,提供具体方向与依据,保障人才培养质量的持续提升。

二、评价对象

公司各专业每一届当年所有取得学位证书的毕业生。

三、评价周期

毕业要求达成评价一般每学年进行一次,需保证每届员工均 经过毕业要求达成度评价。

四、评价责任机构、责任人和主要职责

1.评价责任机构

评价责任机构为专业毕业要求达成度评价小组。该小组由公司经理为组长,分管教学副经理、专业系主任与专业负责人为副组长,成员由系主任、公司教学督导、教师代表、辅导员和基础教育领域专家等成员组成。

2.责任人

专业负责人为毕业要求达成度评价责任人。

3.主要职责

专业负责人全面负责本专业毕业生的毕业要求达成情况评价工作;毕业要求达成度评价小组制定和审查毕业要求达成评价方法;课程负责人负责提供毕业要求达成情况评价所需的课程目标达成度等基础数据;辅导员负责提供员工发展综合评价等资料;辅导员和教务科协助专业负责人开展毕业要求达成情况的评价工作,主要职责是收集、登记、整理、保管各类员工学业成绩资料和评价材料等;毕业要求达成度评价小组对各类评价数据与资料进行分析,形成各项毕业要求的达成结果,分析存在的问题与不足,找出问题与不足的原因,制定改进方案,撰写毕业要求达成度评价报告。

五、评价方法

毕业要求达成评价一般采用直接与间接评价相结合、定量与 定性评价相结合、内部评价与外部评价相结合的多样化评价方式 和评价策略。

1.基于课程目标达成度的定量评价法

首先对支撑各项毕业要求的课程进行权重分配(支撑各项毕业要求分解指标点的所有课程权重之和须为 1),然后汇总每门支撑课程中支撑这一毕业要求分解指标点的课程目标达成度评价结果,根据上述数据计算出各项毕业要求分解指标点的实际达成值,最后计算各项毕业要求的达成值。根据《bevictor韦德官网学士学位授予工作细则》,要获得学士学位,除在规定学习年限内达到主修专业毕业规定的学分要求之外,主修专业必修课程(不含考查课)平均学分成绩不低于 65 分,因此,将员工的毕业要求达成目标值规定为 0.65,评价值≥0.65,视为指标达成。

课程目标达成度评价根据不同类型的课程及课程目标采用多种形式的评价方式,不仅采用课程考试等结果性评价,更注重课堂表现测评、作业检测、单元测试、期中考核等过程性评价方法,案例分析、设计展示、课程论文、专题报告、实验实训等表现性评价方法;毕业论文(设计)、专业实践(见习、实习)等综合性评价方法。

一条毕业要求有若干个毕业要求指标点,而每个指标点又有若干门课程的支撑,所以毕业要求指标点的达成情况取决于课程目标达成情况(直接的课程评价,占比70%);某条毕业要求的达成情况取决于该毕业要求各指标点的综合评价,即加权求和;所有课程开设完成后(员工毕业,获得工学学位),每一条毕业要求的达成度即可计算(仅限考核成绩分析法),总毕业要求达成度取所有毕业要求达成度中最低值,即达成度评价结果取各指标点最小值

1)权重赋值

由任课教师、专业负责人和公司教学指导委员会,对人才培养方案中课程对各指标点支撑的权重,以及毕业要求各指标点在本条毕业要求中权重,草拟一个方案;然后,由工程认证工作组邀请高校同行专家、企业专家进行审核,最终确定好用于计算毕业要求达成度的各种权重。

课程权重由于一条毕业要求由多个指标点构成,每一个毕业要求指标点又由若干门课程支撑。所以,在计算毕业要求各指标点达成度的时候,需要确定各门课程对该指标点支撑的权重,要求权重和为1

毕业要求各指标点权重:由于一条毕业要求由多个指标点,每个指标点对该毕业要求的贡献度是不一样的,需要设置各指标点对该条毕业要求的权重,要求权重和为1

2)毕业要求指标点的达成度计算

毕业要求达成度计算采用考核成绩分析法问卷调查分析法,下面只给出考核成绩分析法的计算过程。

一条毕业要求指标点的达成是由多门课程来支撑。先计算课程对毕业要求指标点支撑的达成度值,然后再根据各课程在该指标点中所占权重,加权求和得到,毕业要求指标点达成度的计算如公式5-1所示。 

   (5-1)

其中,GRij是毕业要求第i条毕业要求第j个指标点的达成度值,Ckk门课程的达成度计算值,Wjk是第k课程对第j个指标点的支撑权重,m是支撑第j个指标点课程数。

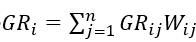
3)毕业要求达成度计算

某条毕业要求(GRi)由多个毕业要求指标点(GRij)构成,则该条毕业要求的达成度是各毕业要求指标点达成度和各指标点权重的加权求和,如公式5-2所示。

(5-2)

其中,GRi是第i条毕业要求的达成度计算值,GRij是第i个毕业要求第j个指标点的达成度值,Wij是第i条毕业要求中第j个毕业要求指标点的权重,n是第i条毕业要求指标点数。

4)毕业要求评价

通过公式(5-1)(5-2),可以计算出人才培养方案中12条毕业要求所对应的达成度,根据达成度评价结果取各指标点最小值的思想,取12条毕业要求中达成度最小值作为总毕业要求评价的达成度值GR,即:

(5-3)

其中i=1,...,12GRi表示第i条毕业要求达成度值,GR是毕业要求达成度值。

2.基于毕业生问卷调查及调研的定性评价法

根据毕业要求各指标点设计相关问题,通过在毕业生中开展问卷调查获得毕业生的自评结果;或通过召开毕业生座谈会、班主任与实习指导教师的座谈会,调研毕业生实习单位等方法,获取毕业要求达成情况的间接评价资料与数据。

六、评价结果及运用

各专业评价记录和评价报告由公司存档,保存 6年以上。评价结果作为课程体系调整、课程教学/课程考核及评价等改进的重要依据。评价完成后,达成度评价小组就达成度评价报告进行审议,提出整改意见;专业召开毕业要求达成度评价反馈会,将达成度评价结果及问卷调查信息及时反馈给课程负责人和相应教师;各课程负责人针对本课程所支撑毕业要求的达成度评价情况,审核本课程的课程目标设臵合理性,分析课程目标达成存在的问题与不足,进行有针对性的改进,从而推动本科人才培养质量的持续改进。

七、本办法自发文之日起施行,由公司毕业要求达成度评价小组 负责解释。


附表 1:专业毕业要求达成度评价报告表


关闭